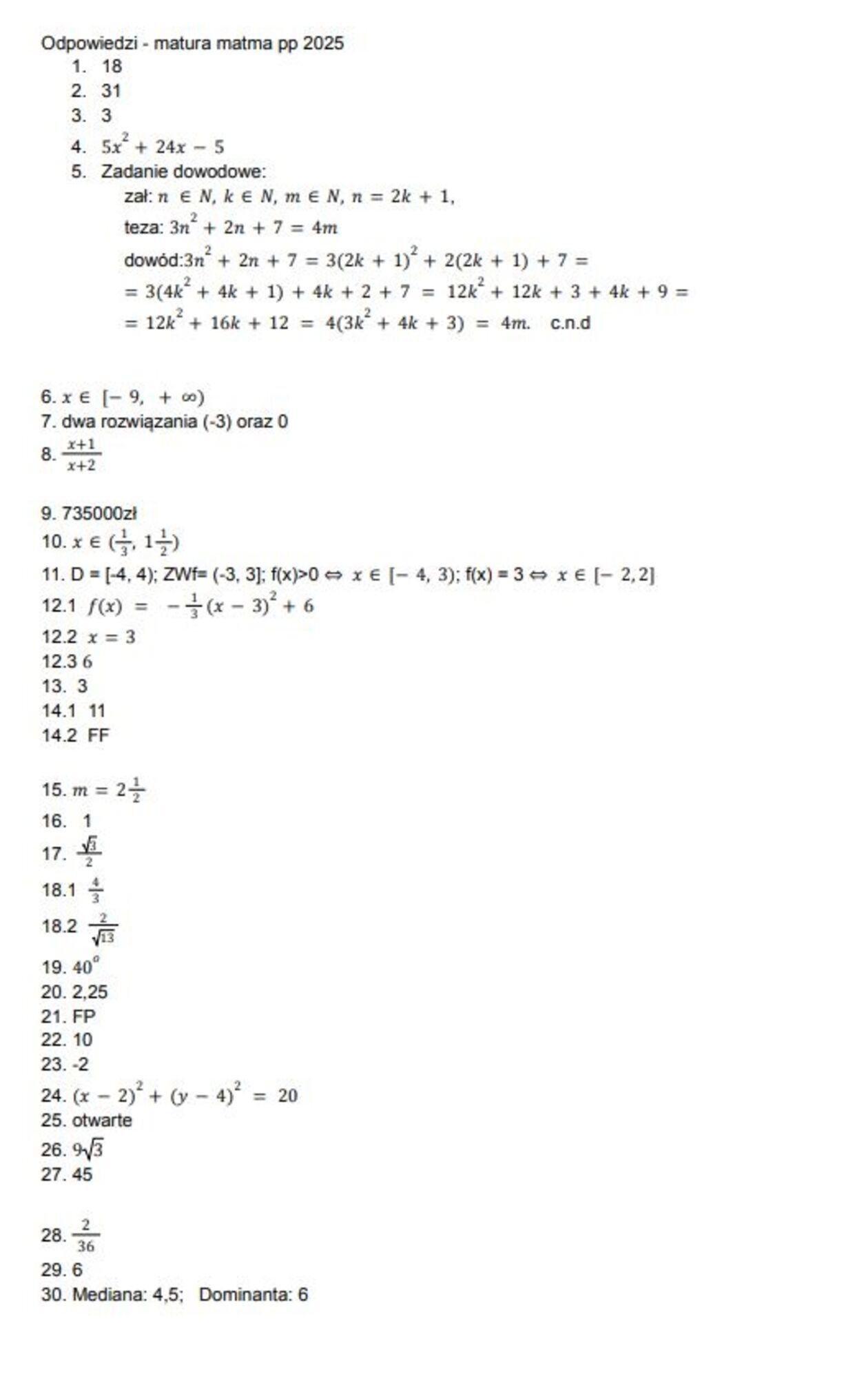
Centralna Komisja Egzaminacyjna opublikowała arkusz rozwiązywany przez maturzystów, zawierał on 31 zadań. Podczas ich rozwiązywania zadań maturzyści mogli korzystać z zestawu wzorów matematycznych, cyrkla, linijki i z prostego kalkulatora.
Zdający musieli się wykazać m.in. umiejętnością wykonywania działań na liczbach rzeczywistych, np. wykonywać działania na potęgach i logarytmach. Należało też umieć rozwiązywać równania i nierówności. Część zadań wymagała m.in. znajomości pojęcia funkcji i umiejętności korzystania z ich własności, a także wiedzy na temat kartezjańskiego układu współrzędnych.
W arkuszu znalazły się także zadania dotyczące ciągów liczbowych – arytmetycznego i geometrycznego, a także obliczania prawdopodobieństwa zdarzenia. Część zadań polegała na obliczeniu średniej arytmetycznej, mediany i dominanty.
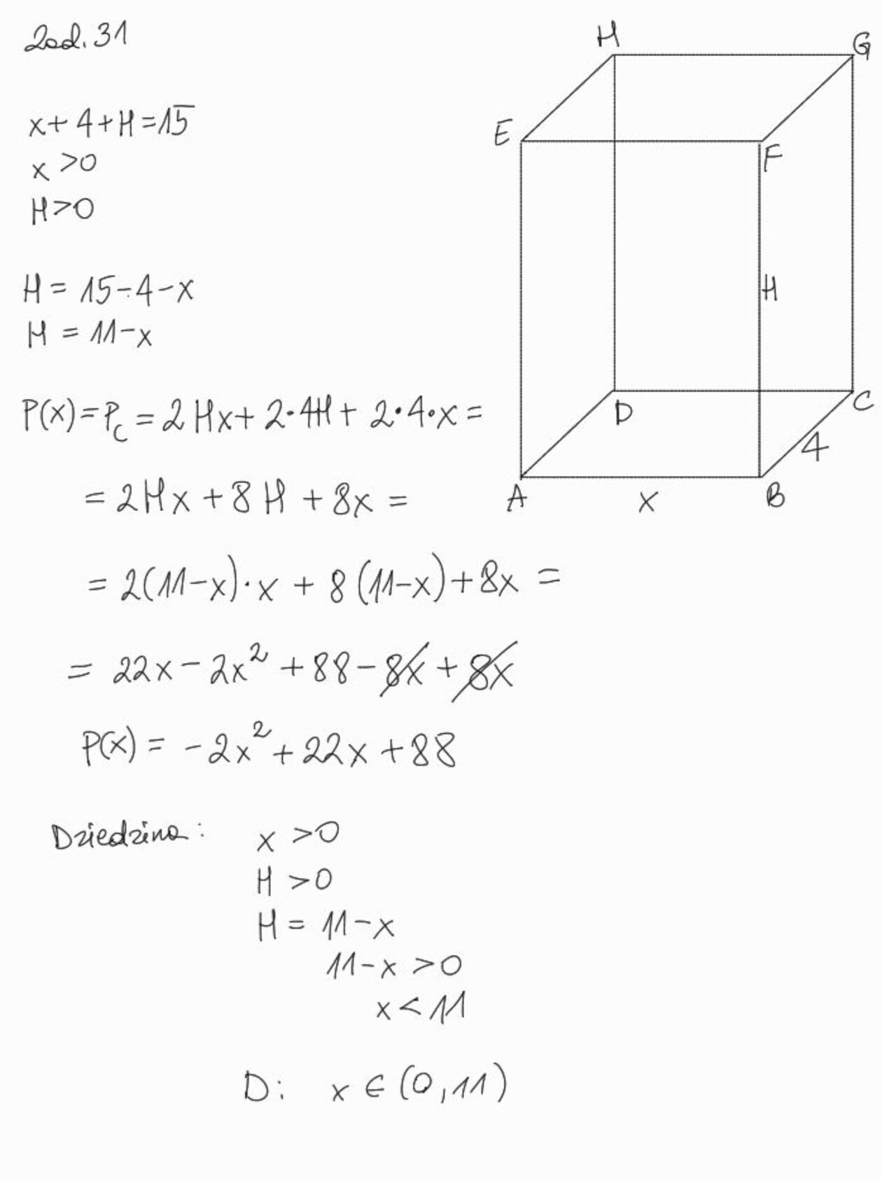
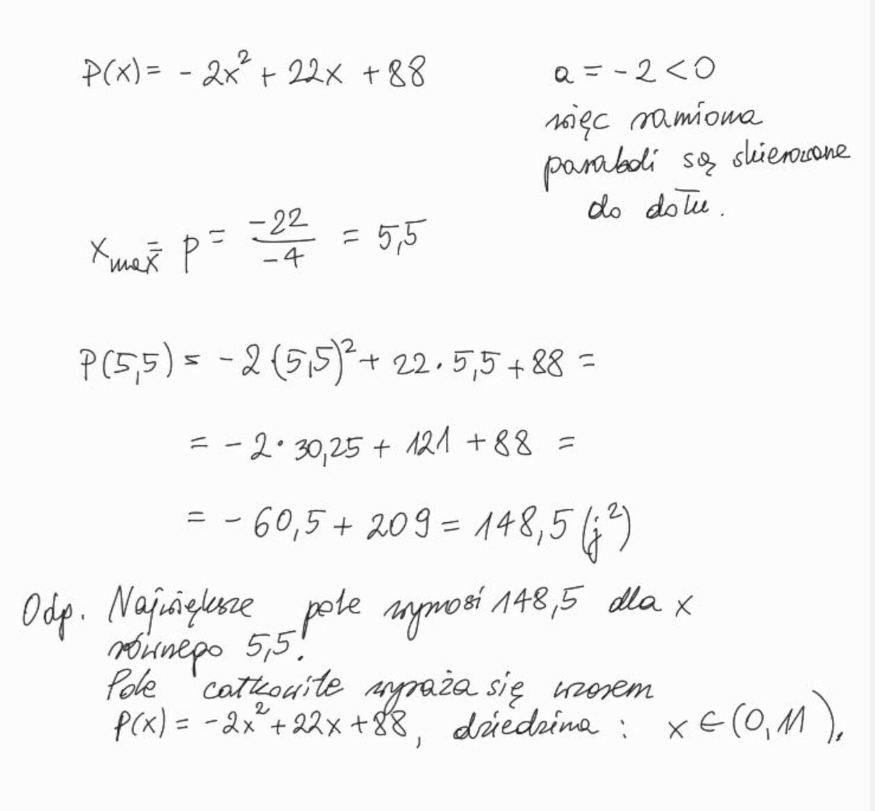
Maturzyści musieli w zadaniach zastosować wiadomości z rodzajów figur geometrycznych i ich własności. Najwyżej oceniane było zadanie polegające na obliczeniu długości krawędzi prostopadłościanu, wykorzystując podane w zadaniu informacje z jednoczesnym wyznaczeniem wzoru i dziedziny funkcji pola powierzchni całkowitej prostopadłościanu.
Egzamin trwał 180 minut.
W naszej galerii znajdziecie arkusze maturlne ze wszystkimi zadaniami, a poniżej odpowiedzi, które przygotowali dla nas nauczyciele z Liceum Ogólnokształcącego im. Kazimierza Wielkiego w Lublinie.






















Komentarze