Reklama
Powiat lubelski. Oświadczenia majątkowe wójtów i burmistrzów
Opis galerii
1 / 72
Ryszard Góra (burmistrz Bełżyc)
Oszczędności: 18 tys. zł, 60 tys. zł
Nieruchomości: dom o pow. 140 mkw. (390 tys. zł)
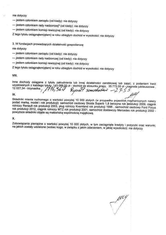
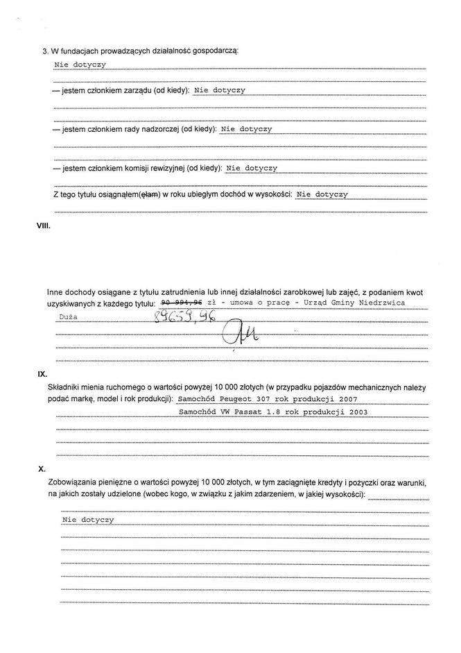
Dochód: 158,9 tys. zł wynagrodzenia (w tym nagroda za 20 lat pracy), 27 tys. zł za pracę w Celowym Związku Gmin „PROEKOB”
Samochód: renault megane z 2010 r.
Reklama

Napisz komentarz
Komentarze