Powiat bialski. Oświadczenia majątkowe wójtów i burmistrzów
Opis galerii
1/91
Zbigniew Zenon Kot (burmistrz Międzyrzeca Podlaskiego)
Oszczędności: 16,2 tys. zł
Nieruchomości: dom o pow. 107 mkw. z działką o pow. 571 mkw. (112 tys. zł) – współwłasność
Dochód: 153 tys. zł wynagrodzenia
Samochód: hyundai ix35 z 2013 r.
6/91
Jacek Danieluk (burmistrz Terespola)
Oszczędności: 7,7 tys. zł
Nieruchomości: dom o pow. 90 mkw. (100 tys. zł), działki o łącznej pow. 0,21 ha – współwłasność
Dochód: 151 tys. zł wynagrodzenia – współwłasność
Samochód: skoda fabia z 2010 r. – współwłasność
10/91
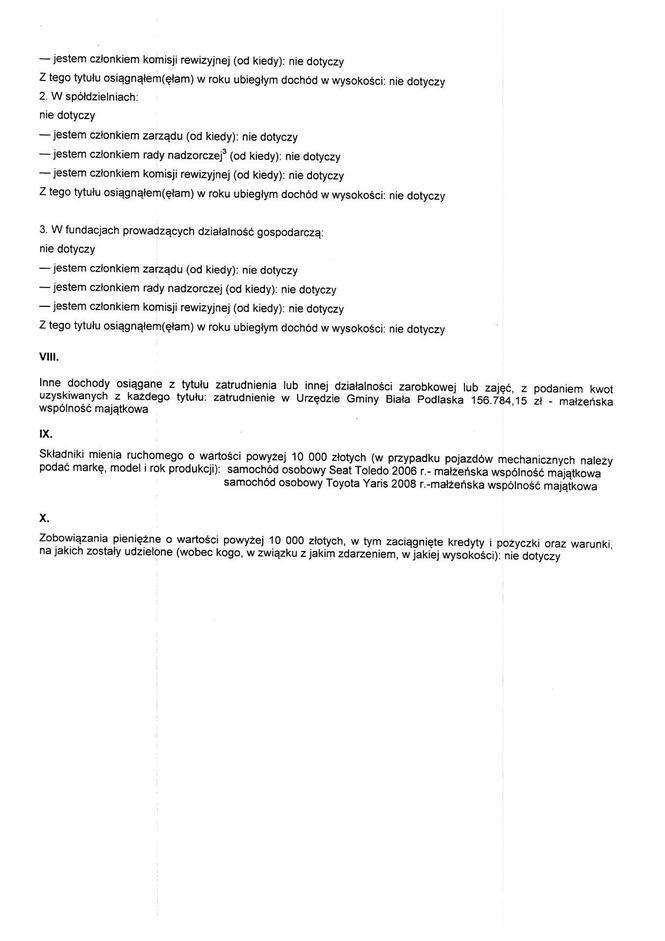
Wiesław Marian Panasiuk (wójt gm. Biała Podlaska)
Oszczędności: 9,6 tys. zł, 210 tys. zł (lokata), 3 tys. euro – współwłasność
Nieruchomości: dom o pow. 130 mkw. (350 tys. zł), działka o pow. 7 ha – współwłasność
Dochód: 156 tys. zł wynagrodzenia – współwłasność
Samochód: seat toledo z 2006 r., toyota yaris z 2008 r. – współwłasność
14/91
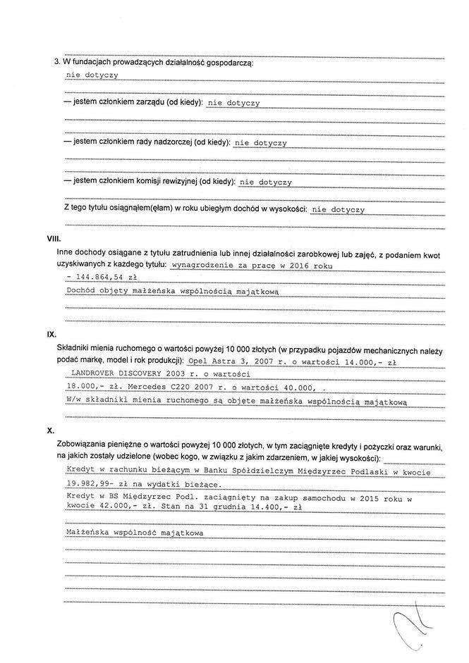
Piotr Kazimierski (wójt gm. Drelów)
Oszczędności: brak
Nieruchomości: dom o pow. 100 mkw. (135 tys. zł) – współwłasność
Dochód: 144 tys. zł wynagrodzenia – współwłasność
Samochód: opel astra 3 z 2007 r., land rover discovery z 2003 r., mercedes c220 z 2007 r. – współwłasność
19/91
Jacek Mariusz Hura (wójt gm. Janów Podlaski)
Oszczędności: 315 tys. zł – współwłasność
Nieruchomości: dom o pow. 181 mkw., budynek gospodarczy i działka o pow. 676 mkw. (300 tys. zł), mieszkanie o pow. 68,8 ha (470 tys. zł) gospodarstwo o pow. 33 ha (543 tys. zł) – współwłasność, gospodarstwo o pow. 33 ha
Dochód: 173 tys. zł wynagrodzenia, 40 tys. zł z najmu
Samochód: brak
23/91
Jerzy Troć (wójt gm. Kodeń)
Oszczędności: 50 tys. zł
Nieruchomości: dom o pow. 146 mkw. (150 tys. zł) – współwłasność
Dochód: 124 tys. zł wynagrodzenia
Samochód: volkswagen golf z 2005 r.
28/91
Romuald Andrzej Murawski (wójt gm. Konstantynów)
Oszczędności: 62 tys. zł – współwłasność
Nieruchomości: dom o pow. 180 mkw. (250 tys. zł) – współwłasność
Dochód: 205 tys. zł wynagrodzenia – współwłasność
Samochód: toyota rav 4 z 2006 r. – współwłasność
38/91
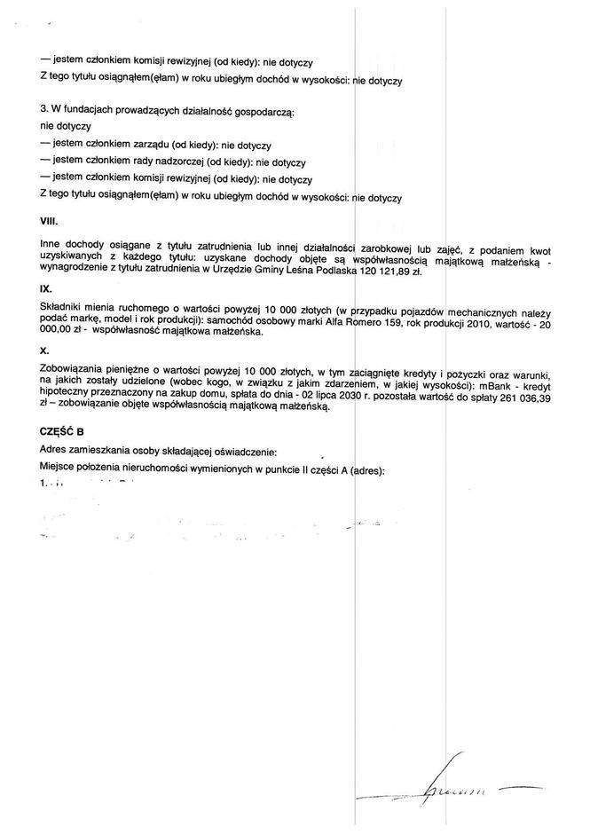
Paweł Kazimierski (wójt gm. Leśna Podlaska)
Oszczędności: brak
Nieruchomości: dom o pow. 175 mkw. (370 tys. zł) – współwłasność
Dochód: 120 tys. zł wynagrodzenia – współwłasność
Samochód: alfa romeo 159 z 2010 r. – współwłasność
42/91
Jerzy Czyżewski (wójt gm. Łomazy)
Oszczędności: 54 tys. zł
Nieruchomości: brak
Dochód: 111 tys. zł wynagrodzenia
Samochód: ford focus z 2005 r., opel meriva z 2006 r.
45/91
Krzysztof Adamowicz (wójt gm. Międzyrzec Podlaski)
Oszczędności: 65 tys. zł
Nieruchomości: dom o pow. 160 mkw. (220 tys. zł)
Dochód: 166 tys. zł wynagrodzenia
Samochód: ford c max z 2005 r.
48/91
Kamil Kożuchowski (wójt gm. Piszczac)
Oszczędności: 125 tys. zł – współwłasność
Nieruchomości: dom o pow. 247 mkw. (300 tys. zł) – współwłasność, gospodarstwo o pow. 36 ha
Dochód: 118 tys. zł wynagrodzenia
Samochód: honda cr-v z 2007 r. – współwłasność
Pieniądze władzy z powiatu bialskiego - cz. 2
Przedstawiamy wybrane informacje z oświadczeń majątkowych wójtów i burmistrzów powiatu bialskiego za 2016 r.
53/91
Jacek Szewczuk (wójt gm. Rokitno)
Oszczędności: brak
Nieruchomości: dom o pow. 112 mkw. (80 tys. zł) – współwłasność, gospodarstwo o pow. 19 ha – współwłasność
Dochód: 114 tys. zł wynagrodzenia
Samochód: opel meriva z 2015 r.
58/91
Kazimierz Eugeniusz Weremkowicz (wójt gm. Rossosz)
Oszczędności: 156 tys. zł – współwłasność
Nieruchomości: mieszkanie o pow. 36,6 mkw. (90 tys. zł)
Dochód: 128 tys. zł wynagrodzenia
Samochód: brak
63/91
Grzegorz Kiec (wójt gm. Sławatycze)
Oszczędności: brak
Nieruchomości: dom o pow. 156 mkw. (400 tys. zł) – współwłasność,
Dochód: 110 tys. zł wynagrodzenia, 23 tys. zł emerytury
Samochód: audi a4 z 2004 r. oraz audi a3 z 2002 r. – współwłasność
68/91
Marek Korpysz (wójt gm. Sosnówka)
Oszczędności: 112 tys. zł – współwłasność
Nieruchomości: dom o pow. 104 mkw. (76 tys. zł), gospodarstwo o pow. 13 ha (240 tys. zł)
Dochód: 100 tys. zł
Samochód: opel corsa z 2010 r., opel corsa z 2014 r. oraz renault clio z 2015 r.
72/91
Krzysztof Jerzy Iwaniuk (wójt gm. Terespol)
Oszczędności: 89,5 tys. zł, 10 tys. euro, 10 tys. dolarów
Nieruchomości: dom o pow. 300 mkw. (450 tys. zł)
Dochód: 156 tys. zł wynagrodzenia z urzędu gminy, 45 tys. zł z Fundacji Programów Pomocy dla Rolnictwa FAPA
Samochód: bmw x5 z 2002 r. – współwłasność, jeep wrangler z 2004 r.
77/91
Zygmunt Stanisław Litwiniuk (wójt gm. Tuczna)
Oszczędności: 20 tys. zł – współwłasność
Nieruchomości: dom o pow. 244 mkw. (260 tys. zł), mieszkanie o pow. 38 mkw. (30 tys. zł), gospodarstwo o pow. 10 ha (135 tys. zł) – współwłasność
Dochód: 159 tys. zł wynagrodzenia (w tym nagroda jubileuszowa)
Samochód: mercedez benz 250 d z 1999 r., skoda fabia z 2011 r. – współwłasność
82/91
Piotr Robert Dragan (wójt gm. Wisznice)
Oszczędności: 5 tys. zł
Nieruchomości: dom o pow. 190 mkw. (330 tys. zł) – współwłasność, dom o pow. 110 mkw. (106 zł), gospodarstwo z lasem o pow. 5,9 ha.
Dochód: 161 tys. zł wynagrodzenia, 7,6 tys. zł stypendium doktoranckiego ze studiów
Samochód: volkswagen passat z 2010 r.
87/91
Jan Henryk Sikora (wójt gm. Zalesie)
Oszczędności: 60 tys. zł, 2 tys. funtów, udziały na kwotę 20 tys. zł
Nieruchomości: dom o pow. 180 mkw. (300 tys. zł) – współwłasność
Dochód: 152 tys. zł wynagrodzenia
Samochód: skoda octavia z 2008 r. – współwłasność
(oprac. dd)
*Jutro majątki władz gminnych powiatu biłgorajskiego
Reklama
Napisz komentarz
Komentarze