Przejdź do głównych treści
Przejdź do wyszukiwarki
Przejdź do głównego menu
Reklama
Facebook.com
X.com
Instagram.com
Youtube.com
Tiktok.com
poniedziałek, 12 stycznia 2026 17:34
Ułatwienia dostępności
Zaloguj się
SPORT
WIDEO
ROZRYWKA
CO GDZIE KIEDY
PRENUMERATA
OGŁOSZENIA
LUBLIN
BIAŁA PODLASKA
CHEŁM
LUBARTÓW
ŁĘCZNA
KRAŚNIK
PUŁAWY
ŚWIDNIK
ZAMOŚĆ
INNE REGIONY
Biłgoraj
Hrubieszów
Janów Lubelski
Krasnystaw
Łuków
Opole Lubelskie
Parczew
Powiat Lubelski
Radzyń Podlaski
Ryki
Tomaszów Lubelski
Włodawa
SPORTOWIEC ROKU
E-WYDANIE
SERWISY TEMATYCZNE
Polityka
Biznes
Finanse
Inwestycje
Edukacja
Praca
Kryminalne
Wypadki
Pożary
Bezpieczeństwo
Drogi
Kolej
Nieruchomości
Nauka
Wiara
Kraj Świat
Rozrywka
Kuchnia
Quizy
Historia
Sport
Pogoda
Opinie
Nowe technologie
Najnowsze
Zdrowie
Magazyn
Turystyka
Foto
Wideo
Lotto
Nekrologi
Lotnisko
Pokaż pozostałe elementy menu
!
Plebiscyt Sportowiec Roku 2025 ruszył! Głosujcie na swoich faworytów!
Masz dla nas temat? Daj nam znać pod numerem: +48 691 770 010 Kliknij, napisz do nas wiadomość!
Reklama
Strona główna
Galerie zdjęć
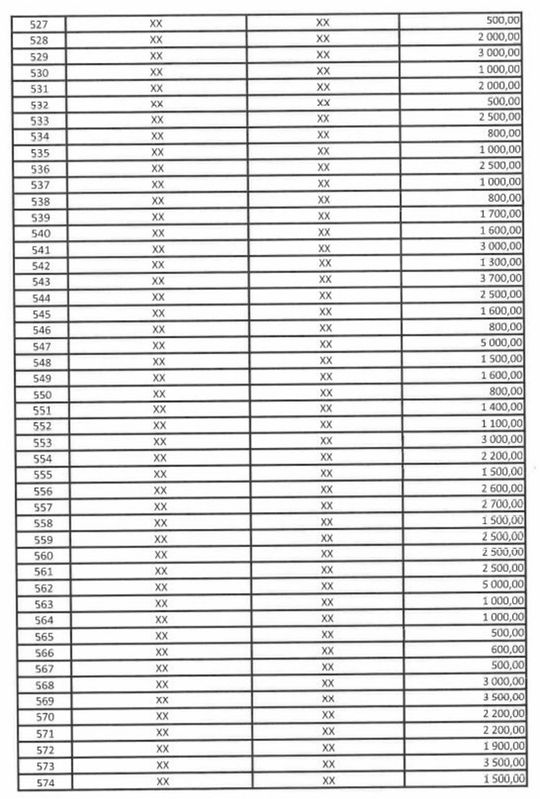
Nagrody dla pracowników urzędu marszałkowskiego w Lublinie
Zdjęcie: Nagrody dla pracowników urzędu marszałkowskiego w L...
14
/ 20
Reklama